Les nutriments : Tout savoir au travers de notre guide des nutriments de A à Z, leurs caractéristiques, leurs utilisations, leurs valeurs nutritionnelles, leurs origines et leurs bienfaits
Qu’est-ce qu’un nutriment ?
Un nutriment est une substance que l’organisme nécessite pour maintenir ses fonctions vitales, favoriser sa croissance, entretenir la réparation des tissus, et obtenir de l'énergie. Les nutriments sont acquis par le biais de l'alimentation et sont fondamentaux pour soutenir la vie et promouvoir la santé. Ils sont généralement classés en deux grandes catégories : les macronutriments, qui sont nécessaires en grandes quantités, et les micronutriments, qui, bien que cruciaux, sont nécessaires en plus petites quantités.
Macronutriments :
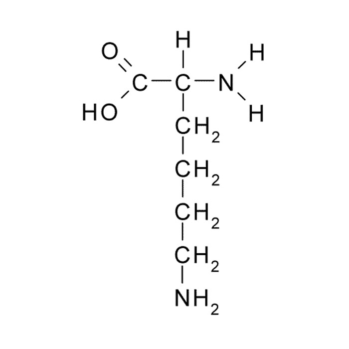
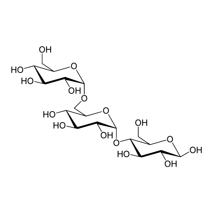
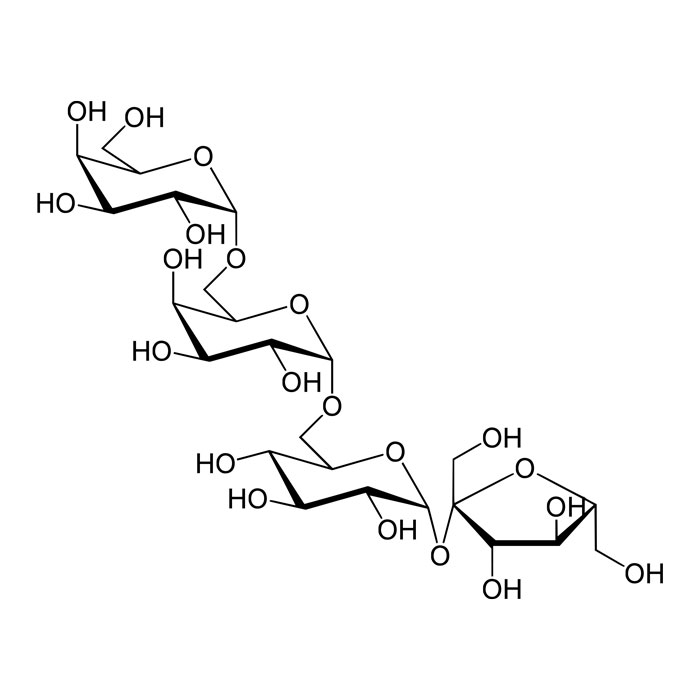
Les macronutriments incluent les glucides, les protéines, et les lipides, et chacun a un rôle distinct dans le corps. Les glucides sont la principale source d’énergie de l’organisme et sont présents dans les aliments comme les céréales, les fruits, et les légumes. Les protéines, trouvées dans des aliments tels que la viande, les légumineuses et les œufs, sont essentielles pour la construction et la réparation des tissus corporels. Les lipides, contenus dans les huiles, les noix et les graines, sont vitaux pour la santé cellulaire et hormonale, en plus d'être une source d'énergie.
Micronutriments :
Les micronutriments se composent de vitamines et de minéraux qui ont une myriade de fonctions au sein de l’organisme, bien que nécessaires en moindre quantité comparée aux macronutriments. Les vitamines, telles que la vitamine D, la vitamine C, et la vitamine B12, sont impliquées dans des processus tels que le maintien de l'intégrité de la peau, l'absorption du calcium, et la production d'énergie. Les minéraux, tels que le fer, le calcium et le zinc, sont impliqués dans diverses fonctions y compris le transport de l'oxygène dans le sang, la formation des os, et le soutien du système immunitaire.
Eau :
Bien que souvent omise dans les discussions sur les nutriments, l'eau est absolument essentielle à la vie. L'eau est impliquée dans pratiquement tous les processus biologiques du corps, y compris la digestion, l'absorption des nutriments, le transport des substances dans le corps, et l'élimination des déchets.
Fibres Alimentaires :
Les fibres alimentaires, bien que non absorbées de manière conventionnelle par l'organisme, jouent un rôle crucial dans la régulation de la digestion et le maintien de la santé intestinale. Elles sont également bénéfiques pour la gestion du poids, la régulation de la glycémie, et le soutien de la santé cardiovasculaire.
Antioxydants et Phytonutriments :
Les antioxydants et phytonutriments sont des composés trouvés dans les aliments, en particulier dans les fruits et légumes, qui ont divers bienfaits pour la santé, notamment en protégeant les cellules contre les dommages et en soutenant la santé globale de divers systèmes corporels.
Chaque nutriment joue un rôle irremplaçable dans le maintien de la santé et du bien-être de l’organisme. Une alimentation variée et équilibrée est donc essentielle pour assurer un apport adéquat en tous ces nutriments essentiels, favorisant ainsi une santé optimale et prévenant les carences nutritionnelles et les conditions de santé associées.
L’origine et l’histoire des nutriments
La compréhension et la découverte des nutriments, ces éléments cruciaux pour notre santé, ont évolué au fil du temps, traversant des périodes de découverte, de mystère et d’innovation. Le cheminement de la connaissance des nutriments dans notre histoire est intrinsèquement lié à notre exploration constante de l'alimentation, de la santé et de la science.
Prémices de la Compréhension des Nutriments :
L'histoire de la compréhension des nutriments remonte à des temps anciens, où, bien que la connaissance biochimique soit limitée, les gens ont commencé à reconnaître le lien entre alimentation et santé. Les anciens Égyptiens, par exemple, avaient identifié certains aliments qui semblaient bénéfiques ou néfastes pour la santé, même s'ils ne comprenaient pas les mécanismes sous-jacents.
Le Scorbut et la Découverte des Vitamines :
Une avancée notable dans la compréhension des nutriments a été la découverte des vitamines. Le scorbut, causé par une carence en vitamine C, a été un fléau pour les marins durant des siècles. Au 18e siècle, le médecin naval britannique James Lind a découvert que le jus de citron pouvait prévenir et traiter cette maladie, jetant ainsi les bases de la découverte des vitamines.
L’Ère des Vitamines et Minéraux :
Le début du 20e siècle a marqué une période intense de découverte en matière de nutrition avec l’identification et la caractérisation des vitamines et de nombreux minéraux. Casimir Funk, un biochimiste, a introduit le terme "vitamine" en 1912, et dans les décennies qui ont suivi, la recherche a permis d'isoler, d'identifier et de synthétiser diverses vitamines et de comprendre leur rôle dans la santé.
Découvertes des Macronutriments :
Parallèlement, la compréhension des macronutriments - glucides, protéines et lipides - a également progressé. Au fil du temps, les scientifiques ont déchiffré les rôles spécifiques de ces nutriments, tels que l’importance des protéines dans la construction des tissus et le rôle des glucides comme principale source d'énergie.
Évolution et Modernité :
Avec le développement des technologies et des méthodologies scientifiques au 20e et 21e siècle, la nutrition et la compréhension des nutriments ont considérablement évolué. Nous sommes maintenant capables de comprendre les mécanismes moléculaires par lesquels les nutriments affectent notre santé, d'explorer les relations complexes entre génétique, alimentation et maladie, et d'étudier le microbiome intestinal, qui joue un rôle vital dans la digestion et l'absorption des nutriments.
Nutrition Personnalisée :
Aujourd'hui, la recherche en nutrition explore le domaine passionnant de la nutrition personnalisée, cherchant à comprendre comment les variations génétiques individuelles peuvent influencer les besoins nutritionnels et les réponses alimentaires, visant ainsi à optimiser la santé à un niveau individuel.
Ainsi, l’histoire des nutriments reflète notre quête incessante pour comprendre notre corps et comment le nourrir de manière optimale. Il est fascinant de penser à l'évolution de la compréhension des nutriments, du mystère antique au savoir scientifique moderne, et il est excitant de penser à ce que l'avenir pourrait nous réserver dans ce domaine.
Quels sont les différents types de nutriments ?
Les nutriments sont des composés essentiels que le corps utilise pour fonctionner correctement. Ils jouent un rôle crucial dans les processus biologiques, y compris la croissance, la réparation des tissus, et le maintien du métabolisme. Les nutriments peuvent être classés en deux grandes catégories : les macronutriments, nécessaires en grandes quantités, et les micronutriments, requis en plus petites quantités, mais non moins essentiels.
Macronutriments :
Les macronutriments sont les éléments nutritionnels que nous consommons en plus grandes quantités et qui fournissent l'énergie nécessaire au fonctionnement de notre organisme. Ils comprennent :
- Glucides : Principale source d’énergie, ils sont trouvés dans les céréales, les fruits, les légumes et les produits laitiers.
- Protéines : Essentielles pour la croissance et la réparation des tissus. Les sources incluent la viande, les poissons, les légumineuses et les noix.
- Lipides : Fournissent une source concentrée d'énergie et sont essentiels pour absorber les vitamines liposolubles. Ils sont présents dans les huiles, le beurre, l'avocat et les noix.
- Eau : Bien qu'elle ne fournisse pas d'énergie, l'eau est parfois considérée comme un macronutriment en raison de la quantité importante dont nous avons besoin chaque jour.
Micronutriments :
Les micronutriments sont des éléments nutritionnels nécessaires en petites quantités mais sont vitaux pour notre santé, notre développement et notre bien-être. Ils incluent :
- Vitamines : Essentielles pour diverses fonctions métaboliques et physiologiques. Les vitamines peuvent être hydrosolubles (comme les vitamines B et C) ou liposolubles (comme les vitamines A, D, E, et K).
- Minéraux : Jouent un rôle dans une multitude de fonctions, telles que la constitution des os (calcium), la production d'hormones (zinc), et la régulation du rythme cardiaque (potassium).
Fibres Alimentaires :
Les fibres sont un type particulier de glucides que l'organisme ne peut pas digérer. Elles sont essentielles pour soutenir la digestion, réguler le sucre sanguin, et maintenir la santé intestinale. On les trouve dans les fruits, les légumes, les céréales complètes et les légumineuses.
Antioxydants :
Les antioxydants protègent nos cellules contre les dommages causés par les radicaux libres et soutiennent la fonction immunitaire. Bien qu'ils ne soient pas classiquement classés comme des nutriments, ils jouent un rôle important dans la préservation de notre santé. Les fruits et légumes colorés sont généralement d'excellentes sources d'antioxydants.
En somme, une alimentation équilibrée et variée est essentielle pour s'assurer que nous obtenons tous les nutriments nécessaires en proportions adéquates pour maintenir la santé et le bien-être. Les recommandations nutritionnelles précises peuvent varier en fonction de divers facteurs, y compris l'âge, le sexe, l'état de santé, et le niveau d'activité physique.
Quels sont les bienfaits des nutriments ?
Les nutriments sont les piliers fondamentaux de notre santé et de notre bien-être. Chacun d'entre eux joue un rôle unique et essentiel dans le maintien et la promotion d'un organisme sain, en participant activement à diverses fonctions et processus biologiques. Examinons de plus près les bienfaits de divers types de nutriments pour mieux comprendre leur importance indéniable dans notre alimentation quotidienne.
1. Énergie et Soutien Métabolique :
Les macronutriments, notamment les glucides, les lipides et les protéines, sont des sources d'énergie vitales. Les glucides offrent une source d'énergie rapidement utilisable, tandis que les lipides fournissent une source d'énergie plus concentrée et servent de réserve énergétique. Les protéines, quant à elles, sont essentielles pour la réparation et la construction des tissus, et peuvent également servir de source d'énergie en cas de besoin.
2. Croissance et Réparation :
Les protéines sont fondamentales pour la croissance, la réparation des tissus et la préservation de la masse musculaire. Les acides aminés, qui sont les éléments constitutifs des protéines, soutiennent également la production d'hormones et d'enzymes nécessaires à une multitude de fonctions biologiques.
3. Soutien au Système Immunitaire :
Certaines vitamines (comme les vitamines A, C, et E) et minéraux (comme le zinc et le sélénium) agissent comme des antioxydants et jouent un rôle crucial dans le soutien du système immunitaire, protégeant l'organisme contre les infections et les maladies.
4. Santé Osseuse :
Des minéraux comme le calcium et le phosphore sont fondamentaux pour la construction et le maintien de la santé osseuse, tandis que la vitamine D facilite l'absorption du calcium et supporte la solidité des os.
5. Santé Cardiovasculaire :
Des acides gras essentiels, tels que les oméga-3, et certains minéraux comme le potassium, aident à réguler la pression artérielle et soutiennent la santé cardiovasculaire. Les fibres, présentes dans les fruits, légumes et céréales complètes, contribuent également à la régulation du cholestérol sanguin.
6. Fonctionnement Cérébral :
Les acides gras oméga-3, ainsi que des nutriments tels que le fer, le zinc et les vitamines du groupe B, jouent un rôle essentiel dans le développement et le fonctionnement du cerveau, en influençant la mémoire, la concentration et d'autres fonctions cognitives.
7. Santé de la Peau et des Cheveux :
Les vitamines A, C, et E, ainsi que les minéraux comme le zinc, nourrissent la peau et les cheveux, favorisant leur santé, leur croissance et leur régénération.
Les nutriments sont un rouage essentiel dans la machinerie complexe de notre organisme. Ils interviennent dans chaque processus, chaque réaction et chaque activité cellulaire, soutenant notre santé de manière globale et optimisant notre qualité de vie. Adopter une alimentation diversifiée et équilibrée est l’une des clés pour assurer un apport suffisant dans tous ces nutriments et ainsi, promouvoir un état de santé optimal.
Quelles sont les valeurs nutritionnelles des nutriments ?
Les valeurs nutritionnelles des nutriments varient considérablement en fonction de leur type et de leur utilisation par l'organisme. La valeur énergétique des nutriments est habituellement mesurée en kilocalories (kcal) ou en kilojoules (kJ), bien que les valeurs exactes puissent varier légèrement en fonction de divers facteurs, notamment la source et la préparation de l'aliment. Décryptons les valeurs énergétiques de base des principaux macronutriments et discutons brièvement de l'importance des micronutriments.
1. Glucides :
Les glucides fournissent environ 4 kcal (17 kJ) par gramme. Ils sont la principale source d'énergie de l'organisme et sont essentiels au fonctionnement du cerveau et des muscles. Ils peuvent être subdivisés en glucides simples (sucres) et complexes (amidons et fibres).
2. Protéines :
Les protéines, essentielles pour la construction et la réparation des tissus, apportent également environ 4 kcal (17 kJ) par gramme. Elles sont composées d'acides aminés, dont certains sont essentiels, c’est-à-dire que le corps ne peut pas les synthétiser et doivent donc être obtenus par l'alimentation.
3. Lipides :
Les lipides sont la source d'énergie la plus dense, offrant environ 9 kcal (37 kJ) par gramme. Ils sont nécessaires pour l'absorption des vitamines liposolubles (A, D, E, K) et fournissent des acides gras essentiels, qui jouent un rôle crucial dans de nombreuses fonctions physiologiques.
4. Alcool :
Bien que l'alcool ne soit pas considéré comme un nutriment essentiel, il contient 7 kcal (29 kJ) par gramme, ce qui peut contribuer de manière significative à l'apport énergétique total pour ceux qui consomment des boissons alcoolisées.
Micronutriments :
Les micronutriments, bien que ne fournissant pas d'énergie, sont d'une importance capitale pour la santé et le bien-être. Les vitamines et les minéraux jouent un rôle crucial dans une myriade de fonctions biologiques, notamment le soutien au métabolisme, la protection contre les radicaux libres, le soutien immunitaire, et la formation osseuse.
5. Fibres :
Les fibres alimentaires, bien que faisant partie des glucides, ne fournissent généralement pas d'énergie utilisable car elles ne sont pas entièrement digérées par l'organisme. Néanmoins, elles sont indispensables pour la santé digestive et la régulation de la glycémie et du cholestérol.
Les valeurs nutritionnelles des aliments se basent largement sur ces mesures, aidant les consommateurs à comprendre l'apport énergétique et nutritif de ce qu'ils consomment. Il est essentiel de reconnaître que la qualité des nutriments consommés - et non seulement leur valeur calorique - est d'une importance cruciale pour la santé et le bien-être global. Ainsi, une alimentation équilibrée riche en fruits, légumes, grains entiers, protéines maigres, et graisses saines sera toujours la clé pour maintenir une santé optimale.
Les nutriments et la santé
L'interaction entre les nutriments et la santé est incommensurable et complexe. Les nutriments, dans toute leur diversité, soutiennent chaque fonction, structure, et processus biologique dans le corps, établissant ainsi un lien inextricable entre notre alimentation et notre état de santé. Les différents types de nutriments participent non seulement au maintien des fonctions corporelles de base, mais ils influencent également notre capacité à combattre les maladies, à effectuer les activités quotidiennes, et même à affecter notre humeur et nos capacités cognitives. Détaillons cela plus précisément.
1. La Santé Cardiovasculaire :
Une alimentation riche en fruits, légumes, grains entiers, et graisses insaturées (comme celles trouvées dans l'huile d'olive et les poissons gras) a été associée à une réduction du risque de maladies cardiovasculaires. Les fibres alimentaires aident à réguler le cholestérol, et les antioxydants, tels que la vitamine E, travaillent pour combattre l'inflammation et préserver la santé des vaisseaux sanguins.
2. La Santé Osseuse :
Le calcium et la vitamine D sont essentiels à la construction et au maintien de la solidité osseuse tout au long de la vie. Les nutriments comme le phosphore et le magnésium jouent également un rôle dans le développement d’une ossature saine, réduisant ainsi le risque de développer des maladies telles que l'ostéoporose à l'âge adulte.
3. La Santé Mentale :
Les nutriments comme les acides gras oméga-3, les vitamines B, le fer, et le zinc ont une influence significative sur la fonction cérébrale et la santé mentale. Les oméga-3, par exemple, sont essentiels au développement cérébral pendant la grossesse et la petite enfance, et ils continuent à soutenir la fonction cognitive tout au long de la vie.
4. La Prévention du Cancer :
Les antioxydants, qui sont abondants dans les fruits et les légumes, aident à neutraliser les radicaux libres dans le corps, réduisant ainsi le stress oxydatif et potentiellement diminuant le risque de certains cancers.
5. La Santé Digestive :
Les fibres alimentaires, que l'on trouve dans les grains entiers, les fruits et les légumes, jouent un rôle vital dans la santé digestive, aidant à prévenir la constipation et à favoriser une flore intestinale saine. Les probiotiques, présents dans les aliments fermentés, soutiennent également la santé intestinale.
6. La Gestion du Poids :
Les protéines et les fibres aident à promouvoir la satiété, ce qui peut aider à gérer le poids en réduisant la faim et en prévenant la suralimentation. Une alimentation équilibrée et nutritive, combinée à une activité physique régulière, est la clé de la gestion du poids et de la prévention de l'obésité.
Chaque nutriment possède un ensemble unique de fonctions et de bienfaits pour la santé, et aucun aliment ou groupe d'aliments ne contient tous les nutriments dont nous avons besoin. Par conséquent, il est crucial de consommer une variété d'aliments sains pour assurer un apport adéquat en tous les nutriments essentiels et soutenir ainsi une santé optimale.

















































