
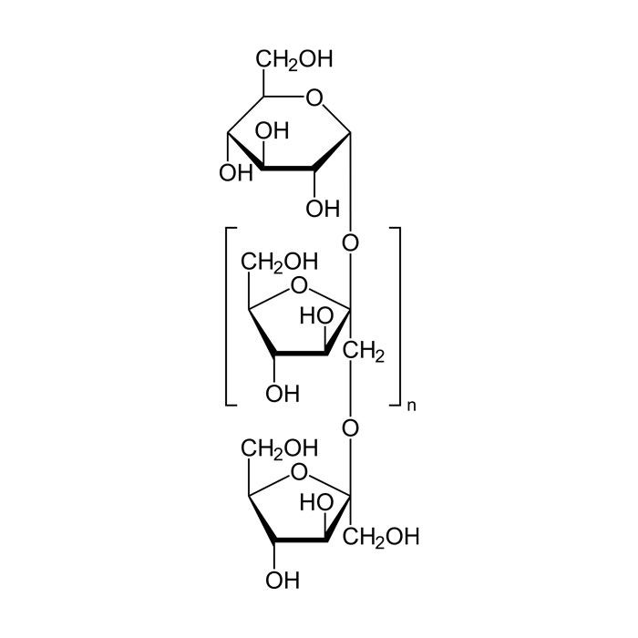
Caractéristiques de l’inuline
-
Identification de l’inuline :
- Nom UICPA : Inulin
- Synonymes : –
- N° CAS : 9005-80-5
- N° ECHA : 100.029.701
- N° CE : 232-684-3
- Code ATC : V04CH01
- PubChem : –
- ChEBI : 15443
- FEMA : –
- SMILES :
C(O[C@@]1(O[C@H](CO)[C@H](…
C(O[C@@]1(O[C@H](CO)[C@H]([C@@H]1O)O)CO[C@@]
1(O[C@H](CO)[C@H]([C@@H]1O)O)CO[C@@]1(O[C@H]
(CO)[C@H]([C@@H]1O)O)CO[C@@]1(O[C@H](CO)[C@H]
([C@@H]1O)O)CO[C@@]1(O[C@H](CO)[C@H]([C@@H]
1O)O)CO[C@@]1(O[C@H](CO)[C@H]([C@@H]1O)O)CO
[C@@]1(O[C@H](CO)[C@H]([C@@H]1O)O)CO[C@@]1
(O[C@H](CO)[C@H]([C@@H]1O)O)CO[C@@]1(O[C@H]
(CO)[C@H]([C@@H]1O)O)CO[C@@]1(O[C@H](CO)[C@H]
([C@@H]1O)O)CO[C@@]1(O[C@H](CO)[C@H]([C@@H]1O)
O)CO[C@@]1(O[C@H](CO)[C@H]([C@@H]1O)O)CO[C@@]1
(O[C@H](CO)[C@H]([C@@H]1O)O)CO[C@@]1(O[C@H](CO)
[C@H]([C@@H]1O)O)CO[C@@]1(O[C@H](CO)[C@H]
([C@@H]1O)O)CO[C@@]1(O[C@H](CO)[C@H]([C@@H]1O)
O)CO[C@@]1(O[C@H](CO)[C@H]([C@@H]1O)O)CO[C@@]
1(O[C@H](CO)[C@H]([C@@H]1O)O)CO[C@@]1(O[C@H]
(CO)[C@H]([C@@H]1O)O)CO[C@@]1(O[C@H](CO)[C@H]
([C@@H]1O)O)CO[C@@]1(O[C@H](CO)[C@H]([C@@H]1O)
O)CO[C@@]1(O[C@H](CO)[C@H]([C@@H]1O)O)CO[C@@]
1(O[C@H](CO)[C@H]([C@@H]1O)O)CO[C@@]1(O[C@H]
(CO)[C@H]([C@@H]1O)O)CO[C@@]1(O[C@H](CO)[C@H]
([C@@H]1O)O)CO[C@@]1(O[C@H](CO)[C@H]([C@@H]1O)
O)CO[C@@]1(O[C@H](CO)[C@H]([C@@H]1O)O)CO[C@@]1
(O[C@H](CO)[C@H]([C@@H]1O)O)CO[C@@]1(O[C@H](CO)
[C@H]([C@@H]1O)O)CO[C@@]1(O[C@H](CO)[C@H]([C@@H]
1O)O)CO[C@@]1(O[C@H](CO)[C@H]([C@@H]1O)O)CO[C@@]
1(O[C@H](CO)[C@H]([C@@H]1O)O)CO[C@@]1(O[C@H](CO)
[C@H]([C@@H]1O)O)CO[C@@]1(O[C@H](CO)[C@H]([C@@H]
1O)O)CO[C@@]1(O[C@H](CO)[C@H]([C@@H]1O)O)CO)[C@]
1(O[C@H](CO)[C@H]([C@@H]1O)O)OC[C@]1(O[C@H](CO)
[C@H]([C@@H]1O)O)O[C@H]1O[C@@H]([C@@H](O) [C@@H]([C@H]1O)O)CO - InChl :
1/C228H382O191/c229-…
1/C228H382O191/c229-1-76-114(268)152(306)
153(307)191(381-76)419-228(190(344)151(305)
113(38-266)418-228)75-380-227(189(343)150
(304)112(37-265)417-227)74-379-226(188
(342)149(303)111(36-264)416-226)73-378
-225(187(341)148(302)110(35-263)415-225)
72-377-224(186(340)147(301)109(34-262)
414-224)71-376-223(185(339)146(300)108
(33-261)413-223)70-375-222(184(338)145
(299)107(32-260)412-222)69-374-221(183
(337)144(298)106(31-259)411-221)68-373
-220(182(336)143(297)105(30-258)410-220)
67-372-219(181(335)142(296)104(29-257)409
-219)66-371-218(180(334)141(295)103(28-
256)408-218)65-370-217(179(333)140(294)
102(27-255)407-217)64-369-216(178(332)139
(293)101(26-254)406-216)63-368-215(177
(331)138(292)100(25-253)405-215)62-367-
214(176(330)137(291)99(24-252)404-214)61
-366-213(175(329)136(290)98(23-251)403-213)
60-365-212(174(328)135(289)97(22-250)402
-212)59-364-211(173(327)134(288)96(21-249)
401-211)58-363-210(172(326)133(287)95(20-
248)400-210)57-362-209(171(325)132(286)94
(19-247)399-209)56-361-208(170(324)131
(285)93(18-246)398-208)55-360-207(169(323)
130(284)92(17-245)397-207)54-359-206(168
(322)129(283)91(16-244)396-206)53-358-205
(167(321)128(282)90(15-243)395-205)52-357
-204(166(320)127(281)89(14-242)394-204)51
-356-203(165(319)126(280)88(13-241)393-203)
50-355-202(164(318)125(279)87(12-240)392-
202)49-354-201(163(317)124(278)86(11-239)
391-201)48-353-200(162(316)123(277)85(10-
238)390-200)47-352-199(161(315)122(276)84
(9-237)389-199)46-351-198(160(314)121(275)
83(8-236)388-198)45-350-197(159(313)120
(274)82(7-235)387-197)44-349-196(158(312)
119(273)81(6-234)386-196)43-348-195(157
(311)118(272)80(5-233)385-195)42-347-194
(156(310)117(271)79(4-232)384-194)41-346
-193(155(309)116(270)78(3-231)383-193)40
-345-192(39-267)154(308)115(269)77(2-230)
382-192/h76-191,229-344H,1-75H2/t76-,77-
,78-,79-,80-,81-,82-,83-,84-,85-,86-,87-
,88-,89-,90-,91-,92-,93-,94-,95-,96-,97-
,98-,99-,100-,101-,102-,103-,104-,105-,106
-,107-,108-,109-,110-,111-,112-,113-,114-
,115-,116-,117-,118-,119-,120-,121-,122-,
123-,124-,125-,126-,127-,128-,129-,130-,
131-,132-,133-,134-,135-,136-,137-,138-,
139-,140-,141-,142-,143-,144-,145-,146-,
147-,148-,149-,150-,151-,152+,153,154+,155+
,156+,157+,158+,159+,160+,161+,162+,163+,
164+,165+,166+,167+,168+,169+,170+,171+,
172+,173+,174+,175+,176+,177+,178+,179+,
180+,181+,182+,183+,184+,185+,186+,187+,
188+,189+,190+,191-,192-,193-,194-,195-,
196-,197-,198-,199-,200-,201-,202-,203-,
204-,205-,206-,207-,208-,209-,210-,211-,
212-,213-,214-,215-,216-,217-,218-,219-,
220-,221-,222-,223-,224-,225-,226-, 227-,228+/m1/s1
Propriétés chimiques :
- Formule : C6nH10n+2O5n+1
- Masse molaire : –
- pKa : –
Propriétés physiques :
- T° Fusion : 178 à 181 °C
- Solubilité : soluble dans l’eau chaude
Propriétés biochimiques :
- Codons : –
- pH isoélectrique : –
- Acide aminé essentiel : –
- Occurrence chez les vertébrés : –
Propriétés optiques :
- Pouvoir rotatoire : –
Précautions :
- SIMDUT : –