
Caractéristiques de l’additif E129
-
Identification de l’additif E129 :
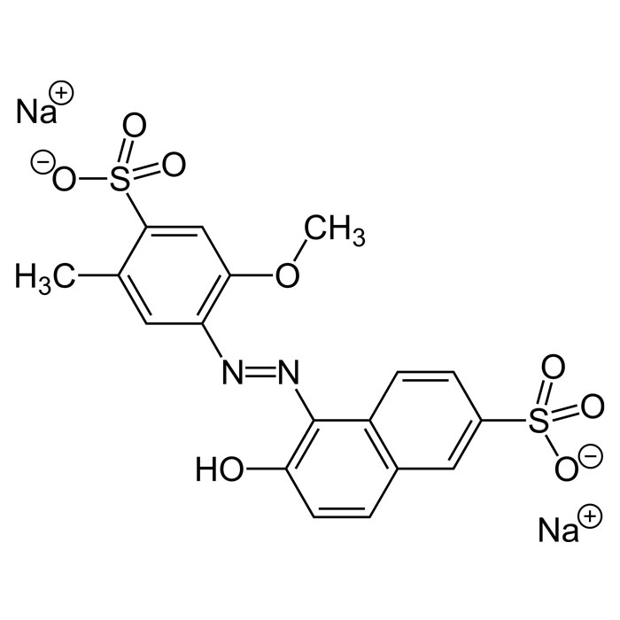
- Nom UICPA : 6-hydroxy-5-[(2-méthoxy-5-méthyl-4-sulfophényl)azo]-2-naphtalénesulfonate de disodium
- Synonymes : Rouge Allura, Rouge alimentaire 17, FD&C Rouge 40, Allura Red AC, Allura Red, Allura red AC dye, Food Red No. 40
- N° CAS : 25956-17-6
- N° ECHA : 100.043.047
- N° CE : 247-368-0
- Code ATC : –
- PubChem : 33258
- ChEBI : –
- FEMA : –
- SMILES :[Na+].COc3cc(c(C)cc3/N=N/c1c2ccc(cc2ccc1O)S([O-])(=O)=O)S([O-])(=O)=O
- InChl : 1/C18H16N2O8S2.2Na/c1-10-7-14(16(28-2)9-17(10) 30(25,26)27)19-20-18-13-5-4-12(29(22,23)24)8-11(13)3- 6-15(18)21;;/h3-9,21H,1-2H3,(H,22,23,24)(H,25,26,27);;/q;2*+1/p-2/b20-19+;;
Propriétés chimiques :
- Formule : C18H14N2Na2O8S2
- Masse molaire : 496,422 ± 0,028 g/mol ; C 43,55 % ; H 2,84 % ; N 5,64 % ; Na 9,26 % ; O 25,78 % ; S 12,92 %.
- pKa : –
Propriétés physiques :
- T° Fusion : >300 °C
- Solubilité : dans l’eau : 2.25 X10+5 mg/L à 25 °C ; dans 50 % d’alcool : 1,3 % ; à 25 °C : dans l’éthanol, 0,001 g/100 mL ; dans le glycérol, 3,0 g/100 mL ; dans le propylène glycol, 1,5 g/100 ml
Propriétés biochimiques :
- Codons : –
- pH isoélectrique : –
- Acide aminé essentiel : –
- Occurrence chez les vertébrés : –
Propriétés optiques :
- Pouvoir rotatoire : –
Précautions :
- SIMDUT : –